探索微波輔助溶膠-凝膠合成多價摻雜氧化鐵薄膜的詳細阻抗和磁介電響應
探索微波輔助溶膠-凝膠合成多價摻雜氧化鐵薄膜的詳細阻抗和磁介電響應
需要增透減反技術可以聯系我們上海工廠18917106313
上海卷柔新技術光電有限公司是一家專業研發生產光學儀器及其零配件的高科技企業,公司2005年成立在上海閔行零號灣創業園區,專業的光電鍍膜公司,技術背景依托中國科學院,卷柔產品主要涉及光學儀器及其零配件的研發和加工;光學透鏡、反射鏡、棱鏡,平板顯示,安防監控等光學鍍膜產品的開發和生產,為全球客戶提供上等的產品和服務。
目前正在進行廣泛的研究,以探索用于電子、光電和自旋電子器件的多功能材料。多功能性依賴于 磁性和電子極化之間的耦合,這是一個巨大的挑戰,特別是對于電子和自旋電子應用。本研究的重 點是材料和方法的發展,以產生兩個極化/階之間的強耦合。在720W下照射溶液后,利用微波和溶 膠-凝膠的聯合作用制備出氧化鐵膜。合成了鋁(Al)和鈷(Co)濃度在2 ~ 10 wt%范圍內變化的多價摻 雜溶膠。在Al-Co含量為8 ~ 10 wt%時,XRD結果觀察到從磁鐵礦到磁鐵礦的晶體相變。磁赤鐵礦到 磁鐵礦的相變表明,微波輻照影響了B和A位空位上Al3+和Co2+離子的占位概率。結構相變還伴隨 著飽和磁化強度的增大。未摻雜的薄膜,即磁赤鐵礦,介電常數為~100 (log f = 4.5)。在阻抗分析中 觀察到各種弛豫現象。在多價摻雜條件下,觀察到室溫下的磁和介電耦合。

氧化鐵是公認的在自旋電子學、傳感器、存儲器件、超級電容器、 磁共振成像等領域顯示各種功能的潛在材料。氧化鐵有赤鐵礦(αFe2O3)、磁鐵礦(Fe3O4)、浮思體(FeO)和磁赤鐵礦(γ-Fe2O3)四種重要的多晶態。在1D磁性材料家族中,磁赤鐵礦、磁鐵礦和赤鐵礦由于具有上文 提到的潛在應用,一直是許多專家感興趣的話題。此外,在優化條件 下,氧化鐵的半金屬豐度在自旋電子學、磁介電學和存儲器件等先進 領域顯示出各種應用。

化學物質
六水硝酸鈷Co(NO3)2.6H2O、硝酸鋁非水合Al(NO3)3. 9H2O、硝酸鐵非水合Fe(NO3)3.9H2O和乙二醇(EG)均購自Sigma-Aldrich,無需進一步提純即可合成。銅底物的蝕刻用稀釋鹽酸進行。丙酮和異丙醇用 于基片的清洗。
Al-Co摻雜氧化鐵溶膠的合成
由于分解溫度低,在本工作中優選鐵、鋁和鈷的硝酸鹽。在此過程中溶劑為乙二醇,早前對其進行了優化以提高性能。使用鈷、鋁和鐵的硝酸鹽制備了三種不同的溶液。對于(Al, Co)摻雜,將非水合硝酸鋁(Al(NO3)3.9H2O)和六水合硝酸 鈷Co(NO3)2.6H2O分別溶解在乙二醇中。在室溫下,連續攪拌30分鐘,形成兩種摻雜溶液的混合。鋁和鈷(2-10 wt%)的摻雜劑 溶液在氧化鐵中混合。用預先優化的720 W功率對制備好的溶 液進行微波照射。在合成過程中,微波輻照時間為10 s, 開、關周期(2 s開、4 s關)。
微波作用下的溶膠-凝膠化學過程導致了分子與電磁輻射的 有效相互作用。乙二醇和水都是極性分子,這是有利的,因為 微波輔助加熱方法強烈依賴于分子的極性性質。微波加 熱依賴于偶極極化和離子傳導機制。這兩種機制強烈依賴于合 成所用溶劑的性質。極性溶劑對外加電場很敏感,會在溶液中 產生熱點。因此,溶液中由于微波吸收而產生的溫度梯度通過 分子的振蕩和摩擦來催化反應過程[39]。與傳統的加熱過程相 比,這種現象可以在很短的時間內產生具有穩定性和相純度的 理想產物。
(Al, Co)共摻雜氧化鐵薄膜的制備
利用旋轉涂布機將(Al, Co)摻雜的溶膠沉積在預先清洗過的 銅襯底上。用稀釋的鹽酸(HCl)蝕刻襯底,然后用去離子水洗滌。丙酮和異丙醇用于清洗。溶膠以3000轉/分的速度旋轉涂覆在Cu基板上,持續30秒。薄膜在300?C下在500 Oe磁場下退火2 h。(Al, Co)共摻氧化鐵薄膜流程圖如圖1所示。

氧化鐵溶膠的磁性能
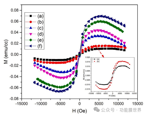
圖2顯示了鋁(Al)和鈷(Co)共摻雜效應合成的溶膠在預優化 功率為720 W的微波輻照下的磁性曲線。在所有條件下都觀察 到弱鐵磁性行為。然而,使用8 ~ 10 wt%共摻雜濃度合成的溶膠 的磁化值有明顯的增加。溶膠的磁性能在包括電子和生物醫學 在內的各種應用中具有重要的用途。
圖1所示。(Al, Co)共摻氧化鐵薄膜流程圖。
圖2所示。(a)未摻雜和(Al, Co)多價摻雜氧化鐵溶膠(b-f) 2-10 wt%的M?H圖。
薄膜的結構分析
圖3為未摻雜和(Al, Co)多價摻雜氧化鐵薄膜在摻雜濃度為0 ~ 10 wt% 時 的 XRD 譜 圖 。(211)、(220)、(311)、(222)、(321)、(400)、(422)、(511)和(540)的衍射面與γ-Fe 2O3結構[ICSD卡號:00- 039-1346]在未摻雜和摻雜濃度為2 ~ 6 wt%時的立方反射相匹配。結構響應表明,在8 ~ 10 wt%的摻雜濃度下,γ-Fe 2O3向Fe3O4轉 變。在磁鐵礦相(0 ~ 6 wt%)的情況下,衍射峰(主要與(400)平面 相關)略微向較高角度偏移。摻雜劑尺寸的離子半徑對XRD譜圖 中的峰位/位移有顯著影響。占據間隙位或晶格位的概率可能 與摻雜原子的尺寸相關。這種概率可能導致d-間距的變化。當摻雜劑濃度進一步增加到8-10 wt%時,觀察到氧化鐵晶體相的 結構調整。(311)、(400)、(422)和(533)面出現的峰與Fe3O4的立 方尖晶石反射相匹配[ICSD卡號:00-001-1111]。在特定2θ值處出 現的衍射峰可能有助于識別/區分磁鐵礦與磁鐵礦的相。γ-Fe2O3通常在20?–30?的2θ值之間出現衍射峰。因此,低摻雜濃度不能有效地產生從磁鐵礦到磁鐵礦的晶體相變。與磁赤 鐵礦相比,磁鐵礦陽離子排列變化的概率可能導致八面體位點上 空位的可用性。然而,高概率存在適當比例的Fe2+和Fe3+陽 離子,可能導致磁鐵礦相,如觀察到的高摻雜濃度為8-10 wt %。由于在相對較高的摻雜濃度下更快的成核和更均勻的加熱,使用 微波方法導致氧化鐵薄膜的磁鐵礦相的產生。
未摻雜和(Al, Co)共摻雜的氧化鐵薄膜的晶粒尺寸、位錯密 度、應力/應變ε用式中給出的表達式計算(1) -(3)。
其中λ為x射線的波長,β在半*大值時顯示全寬度(FWHM), θ 為布拉格角。
圖4顯示了晶粒尺寸、位錯密度和應變隨摻雜濃度變化的響 應。隨著誘導濃度增加至6 wt%,晶粒尺寸增大,磁赤鐵礦(γ-Fe2O3)相的強化現象也隨之發生[圖4(a)]。(Al, Co) 8 wt%多價摻雜的 氧化鐵薄膜,由于晶界含量增加,晶粒尺寸值減小表明晶 體質量變弱。因此,晶體尺寸在8 wt%時的減小表明存在重構過 程。這種重構現象導致晶體相變,從立方γ-Fe2O3到立方Fe3O4, 重量為8wt %。當摻雜劑濃度進一步增加到10 wt%時,Fe3O4的 相穩定強化,這可以從晶粒尺寸的增加中看出。晶粒尺寸的增大 可能是由于基體材料中摻雜過量,導致FeO晶粒在晶格位置附近 聚集。通常情況下,催化劑的存在會抑制各向同性顆粒的團聚。然而,各向異性團聚會導致晶體在某些方向上發育。薄膜的應力 變化是由晶界的移動引起的。表面原子對薄膜的生長起著 重要的作用。根據奧斯特瓦爾德成熟晶體生長機制,被抑制的晶 體表面能是由晶體對溶質的吸附決定的,這意味著晶體表面能的 降低是晶粒形成的驅動因素擴張。
圖3所示。(a)未摻雜和(b) 2wt %, (c) 4wt %, (d) 6wt %, (e) 8wt %, (f) 10wt % (Al, Co)多價摻雜氧化鐵薄膜的XRD譜圖。
堆疊故障概率(SFP)與相鄰兩層/平面之間可能產生布拉格反 射的堆疊故障的存在有關。氧化鐵薄膜(未摻雜和摻雜)的層錯概 率(SFP)由Eq.計算。
圖4(d)顯示了(Al, Co)多價摻雜氧化鐵薄膜的層錯概率。SFP定義了由于生長或沉積后處理過程中產生的紊亂和/或應力而可 能產生的材料畸形。如圖3所示,在摻雜濃度為10 wt%時, 由于Fe3O4相穩定且強化,可見層錯概率(SFP)較低,應變值較 低,晶粒尺寸較大。
未摻雜和摻雜氧化鐵薄膜的織構系數由Eq.(5)計算。
其中,I(hkl)為衍射峰的強度,Io(hkl)為標準數據得到的強度,N為衍射峰的個數。(Al, Co)多價摻雜氧化鐵薄膜的擇優生長如圖4(e)所示。
通過 *小化表面能和內應力,可以觀察到crys - tallites的優先生長。隨機取向材料的織構系數為~1.00。而大于1.00的織構系數則表 示晶體沿特定晶面的取向。
圖5顯示了未摻雜和多價摻雜氧化鐵薄膜的Vesta三維晶體結 構。γ-Fe2O3是一種缺陽離子的鐵磁性逆尖晶石,如圖5(a -d)所示,而Fe3O4則如圖5(e-d)所示。
在立方Fe3O4結構中,鐵離子(Fe3+)均勻分布在四面體和八面體位置,而鐵離子則分布在八面 體位置[58]。立方尖晶石Fe3O4具有兩個間隙位。在四面體排列中,Fe3+的半徑(0.49 ?)小于Fe2+ (0.63 ?),而陽離子在八面體排列中 具有相似的半徑。尖晶石結構中A-A和A-B相互作用的鍵角分別 為79.63?和125.15?。未摻雜和(Al, Co)摻雜的氧化鐵薄膜的 鍵角列于表S1。
圖4所示。(a)未摻雜和(Al, Co)摻雜氧化鐵薄膜的晶粒尺寸,(b)位錯密度,(c)應力/應變,(d)層錯概率,(e)織構系數(Tc)。
圖5所示。(a)未摻雜和(b) 2wt %, (c) 4wt %, (d) 6wt %, (e) 8wt %, (f) 10wt %
關于我們
上海卷柔新技術光電有限公司是一家專業研發生產光學儀器及其零配件的高科技企業,公司2005年成立在上海閔行零號灣創業園區,專業的光電鍍膜公司,技術背景依托中國科學院,卷柔產品主要涉及光學儀器及其零配件的研發和加工;光學透鏡、反射鏡、棱鏡,平板顯示,安防監控等光學鍍膜產品的開發和生產,為全球客戶提供上等的產品和服務。
采用德國薄膜制備工藝,形成了一套具有嚴格工藝標準的閉環式流程技術制備體系,能夠制備各種超高性能光學薄膜,包括紅外薄膜、增透膜,ARcoating,激光薄膜、特種薄膜、紫外薄膜、x射線薄膜,應用領域涉及激光切割、激光焊接、激光美容、醫用激光器、光學科研,紅外制導、面部識別、VR/AR應用,博物館,低反射櫥窗玻璃,畫框,工業燈具照明,廣告機,點餐機,電子白板,安防監控等。卷柔新技術擁有自主知識產權的全自動生產線【sol-gel溶膠凝膠法鍍膜線】,這條生產線能夠生產全球先進的減反射玻璃。鍍膜版面可達到2440*3660mm,玻璃厚度從0.3mm到12mm都可以,另外針對PC,PMMA方面的增透膜也具有量產生產能力。ARcoating減反膜基本接近無色,色彩還原性好,并且可以避免了磁控濺射的缺點,鍍完增透膜后玻璃可以做熱彎處理和鋼化處理以及DIP打印處理。這個難度和具有很好的應用性,新意突出,實用性突出,濕法鍍膜在價格方面也均優于真空磁控的干法。
卷柔減反射(AR)玻璃的特點:高透,膜層無色,膜硬度高,抗老化性強(耐候性強于玻璃),玻璃長期使用存放不發霉,且有一定的自潔效果.AR增透減反膜玻璃產品廣泛應用于**文博展示、低反射幕墻、廣告機玻璃、節能燈具蓋板玻璃、液晶顯示器保護玻璃等多行業。
我們的愿景:卷柔讓光學更具價值!
我們的使命:有光的地方就有卷柔新技術!
我們的目標:以高質量的產品,優惠的價格,貼心的服務,為客戶提供優良的解決方案。
上海卷柔科技以現代鍍膜技術為核心驅動力,通過鍍膜設備、鍍膜加工、光學鍍膜產品服務于客戶,努力為客戶創造新的利潤空間和競爭優勢,為中國的民族制造業的發展貢獻力量。



